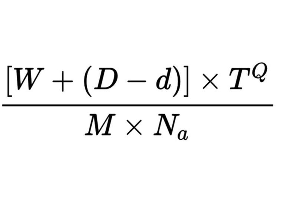
Well it is here – the day ‘research’ has shown to be the most depressing day of the year. Cliff Arnall was the man who was asked to put together the concept. He created a formula for the January blues, taking into account a number of factors that can contribute to low mood.

Factors included are –
- Weather
- Debt (D)
- Monthly salary (d)
- Tune since Christmas (T)
- Time since failing our New Year’s resolutions (Q)
- Low motivation (M)
- The feeling of needing to take action (Na)
To be fair, Arnali has since labelled his own formula as pseudoscience and has urged people in Britain to dismiss any notion of Blue Monday. Telling people that on this day, the worst of the year, the should expect to feel sad and hopeless, is not at all helpful in my opinion. Currently, the services for mental health are extremely under-funded, which makes seeking any form of support hard enough. Add to that, the fact we are living in lockdown for the third time, and the mental health of the country is fragile enough.

Depression Is Not A Gimmick
Trivialising a serious condition, for what is now mainly an advertising gimmick, is dangerous. People with clinical depression can have difficulty sleeping, feel unconnected to the world, socially isolated, have trouble doing normal, every day tasks and experience suicidal thoughts. Depression can be debilitating and life-threatening.
People using mental health terminology need to realise this is not just a bad day or week, because they feel frazzled after a day of home-schooling, they have been dumped by a partner or because it is Blue Monday and they have to be depressed that day. We will all experience periods of sadness, down days, hard to get out of bed days. This does not mean you are depressed, so as a person who has struggled with he realities of depression for a number of years – please STOP using this word so flippantly.
So, When Should You Seek Help?
Depression is more than feeling a bit low or sad for a few days. We will all experience periods of this during our lifetime – it is simply part of the human condition to experience a broad range of emotions. If you feel persistently sad or down for weeks or months on end, this may be a sign you are depressed. Other symptoms include:
- losing interest in things you enjoy
- feeling hopeless
- feeling tearful
- sleeping too much
- struggling to sleep (insomnia)
- poor appetite or overeating
- low sex drive
- anxiety
- suicidal thoughts
If you feel that you may be experiencing these symptoms and may be suffering with depression, please contact your GP. The world is a hard place to live in right now, and lockdown is meaning there will be more people struggling out there. I also have a post about where you can seek help for your mental health problems here.
A Positive
The one positive thing that has come from Blue Monday is that, once again, it is an opportunity for us to talk about mental health. This means we can reduce some of the stigmas surrounding mental illness and hopefully conversations had today will help people that may have a concern about their mental health, to seek out support.
I am always just an email away and you can reach me at thespooniemummy@hotmail.com if you want to chat. Take care and keep safe everyone,


Leave a comment